XIth Rencontres de Blois 1999

Guido Altarelli

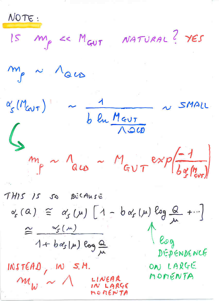
Electroweak symmetry breaking: General introduction

Slide 29 of 65

First Previous Index Next Last
SLIDE
Blois 99: Guido Altarelli Electroweak symmetry breaking : General Introduction Slide 29 / 65

XIth Rencontres de Blois 1999

Guido Altarelli

Electroweak symmetry breaking : General Introduction

Slide 29 of 65

First Previous Index Next Last
SLIDE